乐鱼页面在线登录首页
关于乐鱼页面在线登录
公司概况全国布局品牌文化研发实力博士后工作站合作伙伴工程案例
乐鱼页面在线登录
家装管系列民用建筑管系列给水管系列市政排污管系列通讯电力管系列海洋养殖系列燃气管系列非开挖管系列
乐鱼页面在线登录星服务
服务中心管路图查询留言反馈资料下载真伪查询乐鱼页面在线登录报告检测报告查询
乐鱼页面在线登录资讯
乐鱼页面在线登录新闻行业动态乐鱼页面在线登录公告水管大讲堂
乐鱼(中国)
招贤纳士
人在乐鱼页面在线登录人才理念招聘信息在线招聘
联系我们
PRR尺寸规格
你怎么看?
很多的小伙伴在购买PPR管材进行热熔熔接安装时,总会遇到管材与管件尺寸对不上的情况,然而对于不是专业的我们,在面对繁杂的管道尺寸规格单位时,即使是上网查询也是一头雾水,因为水管行业有许多不同类型的管道,每种管道的特性都不一样,所以描述它们规格的参数含义也有所不同。
今天我们就拿离我们生活最近的PPR家装管来讲一下管道的规格参数问题,从管径规格和壁厚这两个参数开始讲起。
1.管径与管件规格
我们在弄清楚管道规格前,首先要明白公称尺寸DN、公称外径dn、内径以及英制单位的概念。
(1) 公称尺寸DN
公称尺寸是由字母DN和数字组合而成的一种尺寸标识,公称尺寸的数值仅用于指代产品规格,不能代表管道尺寸的实际测量值,是实际测量以毫米为单位数值的圆整值,也可理解为实际测量数值的近似值。
(2) 公称外径dn
公称外径是用于表示管材外径或管件插口部位的一个数值,单位为毫米,常用dn表示。而实际生活中,我们习惯用机械制图中的“Φ”符号来表示外径,如“Φ25×3.5”,即表示公称外径为25 mm,公称壁厚3.5mm(详见下图)。
在乐鱼页面在线登录家装管管件中“Φ”后的数字即表示该管件可以连接公称外径为25 mm的管(详见下图)。
(3) 内径
内径是在管道部件垂直于轴向的横截面上,过圆心的直线与横截面内表面的两个交点之间的距离。
(4) 英制单位
英制单位是一种源自英国的度量衡单位制。常用的有4分,6分和1寸。
“4分”即1/2英寸,即管内径为12.7 mm的管,对应公称外径20mm。
“6分”即3/4英寸,即管内径为19.05 mm的管,对应公称外径25mm。
“1寸”即1英寸,1寸管即管内径为25.4 mm的管,对应公称外径32mm。
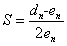
2.管材与管件的壁厚
(1) 管材系列数S与公称壁厚en
对于输送有压力的冷水或热水的管材,其管壁许用应力与管中流体压力的常用关系用下式表示:
由上式整理可得壁厚的计算公式为:
式中:
σ——许用应力,单位为MPa;
P——流体压力,单位为MPa;
dn——公称外径,单位为mm;
en——公称壁厚,单位为mm;
S——管材系列数,S=σ/P。
根据上述公式即可计算出管材的公称壁厚,单位为毫米。从公式中可以得出一个结论:当PPR管的公称外径一定时,管系列S越大,则水管的壁厚越薄,管系列S越小,则水管的壁厚越厚.
在GB/T 18742.2-2017《冷热水用聚丙烯管道系统 第2部分:管材》中,对于管系列S的具体规格参数也有规定(详见下图)。
PPR管材按管系列分为S6.3、S5、S4、S3.2、S.2.5、S2。管件按管系列也分为上述6类,需注意的是管件的壁厚应大于同系列管材的壁厚。
(1) 标准尺寸比SDR
标准尺寸比SDR是管材公称外径与公称壁厚的比值,按一定规则圆整后得到的值。标准尺寸比SDR公式如下:
![]()
将上述公式和管系列S与管材的公称外径、公称壁厚公式(即):

可以得到标准尺寸比SDR与管系列S的公式:
与管系列相同,当PPR管的公称外径一定时,标准尺寸比SDR越大,则水管的壁厚越薄,标准尺寸比SDR越小,则水管的壁厚越厚。
4.实际案例
这根PPR管材的公称外径是25 mm,公称壁厚3.5 mm,对应的管系列是S3.2系列。
这个管件的公称内径是20 mm,可连接公称外径为20 mm的管道,管件等级为S2.5。
这个镶铜内螺纹直接(或称内牙直接、内丝直接),规格表示是Φ20×1/2”,表示:可以连接公称外径20mm的管材;内螺纹规格为英制1/2”,可连接外螺纹英制1/2”的配件。